欢迎光临:莱耀标准品网!
 您的位置:对照品 > 对照品 > 杂质对照品 >
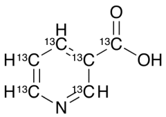
Nicotinic Acid-13C6
产品基本信息
产品编号:N429252
产品名称:Nicotinic Acid-13C6
产品CAS:1189954-79-7
规格含量:2mg
产品价格:面议
联系我们:
产品详细介绍
标准品编号: N429252
名称: Nicotinic Acid-13C6
别名: 3-Pyridinecarboxylic Acid-13C6; 3-Carboxylpyridine-13C6; 3-Carboxypyridine-13C6; Akotin-13C6; Apelagrin-13C6; Niacin-13C6; Niacor-13C6; Niaspan-13C6; Nicacid-13C6; Pelonin-13C6; Vitamin B3-13C6; Vitamin B5-13C6; Wampocap-13C6; β-Pyridinecarboxylic Acid-13C6;
CAS号: 1189954-79-7
参考CAS号: 类似: 59-67-6
分子式: ¹³C₆H₅NO₂
外观: 白色固体
熔点: >233ºC (dec.)
分子量: 129.07
储存: -20˚C Freezer
溶解度: Methanol (Very Slightly), Water (Slightly)
种类: Building Blocks; Isotopic Labeled Analogues; Pharmaceutical/API Drug Impurities/Metabolites; Vitamin Derivatives;
应用: Nicotinic Acid-13C6 is labelled Nicotinic acid. It is a precursor of the coenzymes NAD and NADP. Widely distributed in nature; appreciable amounts are found in liver , fish, yeast and cereal grains. Dietary deficiency is associated with pellagra. The term “niacin” has also been applied to nicotinamide or to other derivatives exhibiting the biological activity of nicotinic acid. Vitamin (enzyme cofactor).
参考文献


2011-2018 信阳莱耀生物科技有限公司 @ 信阳埃尔文生物科技有限公司版权所有

中检所标准品,对照品,标准气体
Keywords: 中检所标准品 对照品 标准气体