欢迎光临:莱耀标准品网!
 您的位置:对照品 > 对照品 > 杂质对照品 >
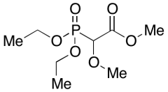
Methyl 2-Diethoxyphosphoryl-2-methoxyacetate
产品基本信息
产品编号:M301575
产品名称:Methyl 2-Diethoxyphosphoryl-2-methoxyacetate
产品CAS:16141-79-0
规格含量:1g
产品价格:面议
联系我们:
产品详细介绍
标准品编号: M301575
名称: Methyl 2-Diethoxyphosphoryl-2-methoxyacetate
别名: (Diethoxyphosphoryl)(methoxy)acetic Acid Methyl Ester; Methoxyphosphono-Acetic Acid Diethyl 1-Methyl Ester
CAS号: 16141-79-0
分子式: C₈H₁₇O₆P
分子量: 240.19
种类: Building Blocks; Miscellaneous;
应用: Methyl 2-diethoxyphosphoryl-2-methoxyacetate is a reagent in a Wittig reaction.
参考文献


2011-2018 信阳莱耀生物科技有限公司 @ 信阳埃尔文生物科技有限公司版权所有

中检所标准品,对照品,标准气体
Keywords: 中检所标准品 对照品 标准气体