欢迎光临:莱耀标准品网!
 您的位置:对照品 > 对照品 > 杂质对照品 >
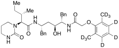
Isolopinavir-d9
产品基本信息
产品编号:I820877
产品名称:Isolopinavir-d9
产品CAS:
规格含量:2.5mg
产品价格:面议
联系我们:
产品详细介绍
标准品编号: I820877
名称: Isolopinavir-d9
别名: (2S,3S)-N-((2S,4S,5S)-5-(2-(2,6-Dimethylphenoxy)acetamido)-4-hydroxy-1,6-diphenylhexan-2-yl)-3-methyl-2-(2-oxotetrahydropyrimidin-1(2H)-yl)pentanamide-d9
参考CAS号: 1132765-59-3 Unlabelled
分子式: C₃₈H₄₁D₉N₄O₅
分子量: 651.88
种类: Standards; Isotopic Labeled Analogues; Pharmaceutical/API Drug Impurities/Metabolites; Anti-virals/Anti-retrovirals;
应用: Isolopinavir-d9 is the isotope labelled analog of Isolopinavir, which is a metabolite of Lopinavir (L469480); a selective HIV protease inhibitor and antiviral.
参考文献


2011-2018 信阳莱耀生物科技有限公司 @ 信阳埃尔文生物科技有限公司版权所有

中检所标准品,对照品,标准气体
Keywords: 中检所标准品 对照品 标准气体