欢迎光临:莱耀标准品网!
 您的位置:对照品 > 对照品 > 杂质对照品 >
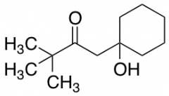
1-(1-hydroxycyclohexyl)-3,3-dimethylbutan-2-one
产品基本信息
产品编号:H955823
产品名称:1-(1-hydroxycyclohexyl)-3,3-dimethylbutan-2-one
产品CAS:59671-45-3
规格含量:50mg
产品价格:面议
联系我们:
产品详细介绍
标准品编号: H955823
名称: 1-(1-hydroxycyclohexyl)-3,3-dimethylbutan-2-one
CAS号: 59671-45-3
分子式: C₁₂H₂₂O₂
分子量: 198.3
种类: Building Blocks; Miscellaneous;
应用: 1-(1-hydroxycyclohexyl)-3,3-dimethylbutan-2-one (cas# 59671-45-3) is a useful research chemical.
参考文献


2011-2018 信阳莱耀生物科技有限公司 @ 信阳埃尔文生物科技有限公司版权所有

中检所标准品,对照品,标准气体
Keywords: 中检所标准品 对照品 标准气体