欢迎光临:莱耀标准品网!
 您的位置:对照品 > 对照品 > 杂质对照品 >
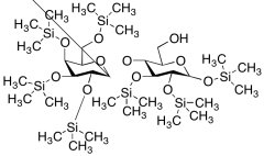
Heptatrimethylsilyl D-Lactose-6'-ol
产品基本信息
产品编号:H294870
产品名称:Heptatrimethylsilyl D-Lactose-6'-ol
产品CAS:
规格含量:5mg
产品价格:面议
联系我们:
产品详细介绍
标准品编号: H294870
名称: Heptatrimethylsilyl D-Lactose-6'-ol
别名: ((2R,3R,4S,5R,6S)-4,5,6-tris((trimethylsilyl)oxy)-3-(((2S,3R,4S,5S,6R)-3,4,5-tris((trimethylsilyl)oxy)-6-(((trimethylsilyl)oxy)methyl)tetrahydro-2H-pyran-2-yl)oxy)tetrahydro-2H-pyran-2-yl)methanol
分子式: C₃₃H₇₈O₁₁Si₇
分子量: 847.56
种类: Standards; Carbohydrates and Oligosaccharides;
应用: Heptatrimethylsilyl D-Lactose-6'-ol is an intermediate in synthesizing Cetirizine 6,6’-O-Lactose Ester Dihydrochloride (6,6’-Mixture) (C281135), a lactose adduct of Cetirizine (C281100).
参考文献


2011-2018 信阳莱耀生物科技有限公司 @ 信阳埃尔文生物科技有限公司版权所有

中检所标准品,对照品,标准气体
Keywords: 中检所标准品 对照品 标准气体