您的位置:对照品 > 对照品 > 杂质对照品 > |
|
|
|
| 产品基本信息 |
|
| 产品编号:E440163 |
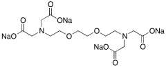
| 产品名称:EGTA Tetrasodium |
| 产品CAS:13368-13-3 |
| 规格含量:25g |
| 产品价格:面议 |
| 联系我们: |
|
|
|
|
|
| 产品详细介绍 |
| 标准品编号: |
E440163 |
| 名称: |
EGTA Tetrasodium |
| 别名: |
3,12-bis(Carboxymethyl)-6,9-Dioxa-3,12-diazatetradecanedioic Acid Tetrasodium Salt; |
| CAS号: |
13368-13-3 |
| 参考CAS: |
Free acid: 67-42-5 |
| 分子式: |
C₁₄H₂₀N₂Na₄O₁₀ |
| 分子量: |
468.28 |
| 种类: |
Building Blocks; |
| 应用: |
EGTA Tetrasodium is a chelating agent useful in the determination of calcium. |
| 参考文献 |
|
|
|
|
|
|