您的位置:对照品 > 对照品 > 杂质对照品 > |
|
|
|
| 产品基本信息 |
|
| 产品编号:E582000 |
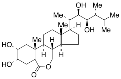
| 产品名称:24-Epi Brassinolide, 90% |
| 产品CAS:78821-43-9 |
| 规格含量:2.5mg |
| 产品价格:面议 |
| 联系我们: |
|
|
|
|
|
| 产品详细介绍 |
| 标准品编号: |
E582000 |
| 名称: |
24-Epi Brassinolide, 90% |
| 别名: |
22R,23R,24R-2a,3a,22,23-Tetrahydroxy-B-homo-7-oxa-5a-ergostan-6-one; (1R,3aS,3bS,6aS,8S,9R,10aR,10bS,12aS)-1-[(1S,2R,3R,4R)-2,3-Dihydroxy-1,4,5-trimethylhexyl]hexadecahydro-8,9-dihydroxy-10a,12a-dimethyl-6H-benz[c]indeno[5,4-e]oxepin-6-one; |
| CAS号: |
78821-43-9 |
| 分子式: |
C₂₈H₄₈O₆ |
| 外观: |
白色至Off-White Solid |
| 熔点: |
193-195°C |
| 分子量: |
480.68 |
| 储存: |
-20°C Freezer |
| 溶解度: |
Chloroform (Slightly), Ethyl Acetate (Slightly) |
| 种类: |
Standards; Steroids; Pharmaceutical/API Drug Impurities/Metabolites; |
| 应用: |
A plant growth stimulant. |
| 参考文献 |
|
|
|
|
|
|
|
|