欢迎光临:莱耀标准品网!
 您的位置:对照品 > 对照品 > 杂质对照品 >
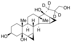
3β,5β-Dihydroxy Drospirenone-d4 Ring-opened Alcohol Impurity
产品基本信息
产品编号:D452792
产品名称:3β,5β-Dihydroxy Drospirenone-d4 Ring-opened Alcohol Impurity
产品CAS:
规格含量:50mg
产品价格:面议
联系我们:
产品详细介绍
标准品编号: D452792
名称: 3β,5β-Dihydroxy Drospirenone-d4 Ring-opened Alcohol Impurity
别名: (3S,5R,6R,7R,8R,9S,10R,13S,14S,15S,16S,17S)-Octadecahydro-17-(3-hydroxypropyl)-10,13-dimethyl-5H-dicyclopropa[6,7:15,16]cyclopenta[a]phenanthrene-3,5,17-triol-d4; [3S-(3α,5α,6β,7β,8α,9β,10α,13α,14β,15β,16β,17α)]-Octadecahydro-17-(3-hydroxypropyl)-10,13-dimethyl-5H-dicyclopropa[6,7:15,16]cyclopenta[a]phenanthrene-3,5,17-triol-d4; 17-(3-Hydroxypropyl)-6β,7β:15β,16β-dimethyleneandrostane-3β,5β,17β-triol-d4
参考CAS号: 82543-18-8 - unlabelled
分子式: C₂₄H₃₄D₄O₄
外观: Off-white Foam
分子量: 394.58
储存: -20°C Freezer
种类: Building Blocks; Steroids; Isotopic Labeled Analogues; Pharmaceutical/API Drug Impurities/Metabolites;
应用: Intermediate in the preparation of labelled Drospirenone (D689500).
参考文献


2011-2018 信阳莱耀生物科技有限公司 @ 信阳埃尔文生物科技有限公司版权所有

中检所标准品,对照品,标准气体
Keywords: 中检所标准品 对照品 标准气体