欢迎光临:莱耀标准品网!
 您的位置:对照品 > 对照品 > 杂质对照品 >
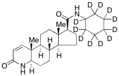
N-Des(1,1-dimethylethyl) N-Cyclohexyl Finasteride-d11
产品基本信息
产品编号:D289577
产品名称:N-Des(1,1-dimethylethyl) N-Cyclohexyl Finasteride-d11
产品CAS:
规格含量:10mg
产品价格:面议
联系我们:
产品详细介绍
标准品编号: D289577
名称: N-Des(1,1-dimethylethyl) N-Cyclohexyl Finasteride-d11
别名: (4aR,4bS,6aS,7S,9aS,9bS,11aR)-N-Cyclohexyl-2,4a,4b,5,6,6a,7,8,9,9a,9b,10,11,11a-tetradecahydro-4a,6a-dimethyl-2-oxo-1H-indeno[5,4-f]quinoline-7-carboxamide-d11; (5α,17β)-N-Cyclohexyl-3-oxo-4-azaandrost-1-ene-17-carboxamide-d11; 1H-Indeno[5,4-f]quinoline, 4-azaandrost-1-ene-17-carboxamide deriv.-d11
参考CAS号: 未标记:133216-45-2
分子式: C₂₅H₂₇D₁₁N₂O₂
分子量: 409.65
种类: Building Blocks; Isotopic Labeled Analogues;
应用: N-Des(1,1-dimethylethyl) N-Cyclohexyl Finasteride-d11 is the isotope labelled analog of N-Des(1,1-dimethylethyl) N-Cyclohexyl Finasteride (D289575); an impurity of Finasteride (F342000) which is an inhibitor of 5α-reductase, the enzyme that converts testosterone to the more potent androgen 5α-dihydrotestosterone. Also an antialopecia agent.
参考文献


2011-2018 信阳莱耀生物科技有限公司 @ 信阳埃尔文生物科技有限公司版权所有

中检所标准品,对照品,标准气体
Keywords: 中检所标准品 对照品 标准气体