欢迎光临:莱耀标准品网!
 您的位置:对照品 > 对照品 > 自制对照品 >
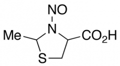
N-Nitroso-2-methylthiazolidine 4-Carboxylic Acid
产品基本信息
产品编号:N529970
产品名称:N-Nitroso-2-methylthiazolidine 4-Carboxylic Acid
产品CAS:103659-08-1
规格含量:250mg
产品价格:面议
联系我们:
产品详细介绍
标准品编号: N529970
名称: N-Nitroso-2-methylthiazolidine 4-Carboxylic Acid
别名: 2-Methyl-3-nitroso-4-thiazolidinecarboxylic Acid; 2-Methyl-N-nitrosothiazolidine -4-carboxylic Acid;
CAS号: 103659-08-1
分子式: C₅H₈N₂O₃S
外观: Pale Brown to Orange Semi-Solid to Solid
熔点: N/A
分子量: 176.19
储存: Hygroscopic, -20°C Freezer, Under Inert Atmosphere
溶解度: DMSO (Slightly), Methanol (Slightly)
种类: Standards; Environmental Standards, Mutagens and Metabolites;
应用: A N-nitroso compound formed in smoke food (smoked bacon, smoked Swiss cheese, smoke flavoring). A carcinogenic compound.
参考文献


2011-2018 信阳莱耀生物科技有限公司 @ 信阳埃尔文生物科技有限公司版权所有

中检所标准品,对照品,标准气体
Keywords: 中检所标准品 对照品 标准气体