欢迎光临:莱耀标准品网!
 您的位置:对照品 > 对照品 > 自制对照品 >
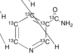
Nicotinamide-13C6
产品基本信息
产品编号:N407754
产品名称:Nicotinamide-13C6
产品CAS:
规格含量:1mg
产品价格:面议
联系我们:
产品详细介绍
标准品编号: N407754
名称: Nicotinamide-13C6
别名: 3-(Aminocarbonyl)pyridine-13C6; 3-Amidopyridine-13C6; 3-Carbamoylpyridine-13C6; 3-Pyridinecarboxylic Acid Amide-13C6; Aminicotin-13C6; Benicot-13C6; Delonin Amide-13C6; Dipegyl-13C6; NAM-13C6; NSC 13128-13C6; NSC 27452-13C6; Niacinamide-13C6; Niavit PP-13C6; Nicamina-13C6; Nicamindon-13C6; Nicasir-13C6; Nicobion-13C6; Nicofort-13C6; Nicosan 2-13C6; Nicosylamide-13C6; Nicotilamide-13C6; Nicotine Acid Amide-13C6; Nicotinic Acid Amide-13C6; Nicotinic Amide-13C6; Nicotylamide-13C6; Nicovit-13C6; Nicovitina-13C6; Nictoamide-13C6; Niocinamide-13C6; Vitamin B-13C6;
参考CAS号: Unlabelled: 98-92-0
分子式: ¹³C₆H₆N₂O
分子量: 128.08
种类: Standards; Isotopic Labeled Analogues;
应用: Nicotinamide-13C6is carbon-13 labeled Nicotinamide (N407750), which is awater-soluble vitamin B, incorporated within nicotinamide cofactors such as NADH and NADPH.
参考文献


2011-2018 信阳莱耀生物科技有限公司 @ 信阳埃尔文生物科技有限公司版权所有

中检所标准品,对照品,标准气体
Keywords: 中检所标准品 对照品 标准气体