欢迎光临:莱耀标准品网!
 您的位置:对照品 > 对照品 > 自制对照品 >
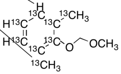
2-(Methoxymethoxy)-1,3-dimethylbenzene-13C8
产品基本信息
产品编号:M318017
产品名称:2-(Methoxymethoxy)-1,3-dimethylbenzene-13C8
产品CAS:
规格含量:5mg
产品价格:面议
联系我们:
产品详细介绍
标准品编号: M318017
名称: 2-(Methoxymethoxy)-1,3-dimethylbenzene-13C8
别名: 2-(Methoxymethoxy)-1,3-dimethylbenzene-13C8
参考CAS号: 126809-70-9
分子式: C₂¹³C₈H₁₄O₂
分子量: 174.16
种类: Building Blocks; Isotopic Labeled Analogues; Miscellaneous;
应用: 2-(Methoxymethoxy)-1,3-dimethylbenzene-13C8 is an intermediate in the synthesis of 2,6-Dimethylphenol-13C8 (D465859), an isotope labelled analog of 2,6-Dimethylphenol-13C8. Similar to other xylenol compounds, 2,6-dimethylphenol is used in the synthesis of anti-oxidant compounds due to the phenol moiety in the structure. In addition, this compound is used as a a reactant in the synthesis of polyphenylene ether polymers.
参考文献


2011-2018 信阳莱耀生物科技有限公司 @ 信阳埃尔文生物科技有限公司版权所有

中检所标准品,对照品,标准气体
Keywords: 中检所标准品 对照品 标准气体