您的位置:对照品 > 对照品 > 自制对照品 > |
|
|
|
| 产品基本信息 |
|
| 产品编号:L177393 |
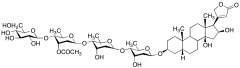
| 产品名称:Lanatoside B |
| 产品CAS:17575-21-2 |
| 规格含量:5mg |
| 产品价格:面议 |
| 联系我们: |
|
|
|
|
|
| 产品详细介绍 |
| 标准品编号: |
L177393 |
| 名称: |
Lanatoside B |
| 别名: |
(3β,5β,16β)-3-[(O-β-D-Glucopyranosyl-(1→4)-O-3-O-acetyl-2,6-dideoxy-β-D-ribo-hexopyranosyl-(1→4)-O-2,6-dideoxy-β-D-ribo-hexopyranosyl-(1→4)-2,6-dideoxy-β-D-ribo-hexopyranosyl)oxy]-14,16-dihydroxycard-20(22)-enolide; Digilanide B; NSC 7535; |
| CAS号: |
17575-21-2 |
| 分子式: |
C₄₉H₇₆O₂₀ |
| 分子量: |
985.12 |
| 种类: |
Standards; Pharmaceutical/API Drug Impurities/Metabolites; |
| 应用: |
Lanatoside B is a novel cardiac glycoside inhibitor acting on sodium-potassium ATPase in vivo. |
| 参考文献 |
|
|
|
|
|
|