欢迎光临:莱耀标准品网!
 您的位置:对照品 > 对照品 > 自制对照品 >
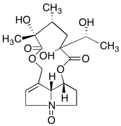
Jacoline N-oxide
产品基本信息
产品编号:J210404
产品名称:Jacoline N-oxide
产品CAS:1148039-73-9
规格含量:1mg
产品价格:面议
联系我们:
产品详细介绍
标准品编号: J210404
名称: Jacoline N-oxide
别名: (5R,6R,9a1R,14aR)-3,6-Dihydroxy-3-((R)-1-hydroxyethyl)-5-6-dimethyl-2,7-dioxo-3,4,5,6,7,9,9a1,11,12,13,14,14a-Dodecahydro-2H-[dioxacyclododecino[2,3,4-gh]pyrroline 12 Oxide(3S,5R,6R,14aR,14bR)-[1,6]Dioxacyclododecino[2,3,4-gh]pyrrolizine-2,7-dione, 3,4,5,6,9,11,13,14,14a,14b-decahydro-3,6-dihydroxy-3-[(1R)-1-hydroxyethyl]-5,6-dimethyl-12-oxide;
CAS号: 1148039-73-9
分子式: C₁₈H₂₇NO₈
分子量: 385.41
种类: Standards; Environmental Standards, Mutagens and Metabolites;
应用: Jacoline N-oxide is a pyrrolizidine alkaloid from Jacobaea vulgaris that performs an important function in plant defense.
参考文献


2011-2018 信阳莱耀生物科技有限公司 @ 信阳埃尔文生物科技有限公司版权所有

中检所标准品,对照品,标准气体
Keywords: 中检所标准品 对照品 标准气体