您的位置:对照品 > 对照品 > 自制对照品 > |
|
|
|
| 产品基本信息 |
|
| 产品编号:I666800 |
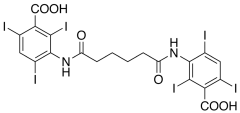
| 产品名称:Iodipamide |
| 产品CAS:606-17-7 |
| 规格含量:10mg |
| 产品价格:面议 |
| 联系我们: |
|
|
|
|
|
| 产品详细介绍 |
| 标准品编号: |
I666800 |
| 名称: |
Iodipamide |
| 别名: |
3,3'-[(1,6-Dioxo-1,6-hexanediyl)diimino]bis[2,4,6-triiodobenzoic Acid; 3,3'-(Adipoyldiimino)-bis(2,4,6-triiodobenzoic Acid); Adipic Acid Bis(3-carboxy-2,4,6-triiodoanilide); Adipiodone; Cholografin; Cholospect; |
| CAS号: |
606-17-7 |
| 分子式: |
C₂₀H₁₄I₆N₂O₆ |
| 外观: |
白色固体 |
| 熔点: |
>280°C (dec.) |
| 分子量: |
1139.76 |
| 储存: |
Room Temp |
| 溶解度: |
DMSO (Slightly), Methanol (Very Slightly) |
| 种类: |
Research Tools; Pharmaceutical/API Drug Impurities/Metabolites; |
| 应用: |
Diagnostic aid (radiopaque medium-cholecystographic). |
| 参考文献 |
|
|
|
|
|
|