欢迎光临:莱耀标准品网!
 您的位置:对照品 > 对照品 > 自制对照品 >
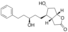
(3aR,4R,5R,6aS)-Hexahydro-5-hydroxy-4-[(3R)-3-hydroxy-5-phenylpentyl]2H-cyclopenta[b]furan
产品基本信息
产品编号:H294065
产品名称:(3aR,4R,5R,6aS)-Hexahydro-5-hydroxy-4-[(3R)-3-hydroxy-5-phenylpentyl]2H-cyclopenta[b]furan
产品CAS:145667-75-0
规格含量:1g
产品价格:面议
联系我们:
产品详细介绍
标准品编号: H294065
名称: (3aR,4R,5R,6aS)-Hexahydro-5-hydroxy-4-[(3R)-3-hydroxy-5-phenylpentyl]2H-cyclopenta[b]furan-2-one
别名: [3aR-[3aα,4α(R*),5β,6aα]]-Hexahydro-5-hydroxy-4-(3-hydroxy-5-phenylpentyl)-2H-cyclopenta[b]furan-2-one; PGX 10
CAS号: 145667-75-0
分子式: C₁₈H₂₄O₄
外观: 白色至白色固体
熔点: 70-72°C
分子量: 304.38
储存: Hygroscopic, -20°C Freezer, Under inert atmosphere
溶解度: Chloroform (Slightly), Methanol (Slightly)
种类: Standards; Pharmaceutical/API Drug Impurities/Metabolites;
应用: (3aR,4R,5R,6aS)-Hexahydro-5-hydroxy-4-[(3R)-3-hydroxy-5-phenylpentyl]2H-cyclopenta[b]furan-2-one is phenyl-substituted prostaglandin and a potent and selective antiglaucoma agents.
参考文献


2011-2018 信阳莱耀生物科技有限公司 @ 信阳埃尔文生物科技有限公司版权所有

中检所标准品,对照品,标准气体
Keywords: 中检所标准品 对照品 标准气体