欢迎光临:莱耀标准品网!
 您的位置:对照品 > 对照品 > 自制对照品 >
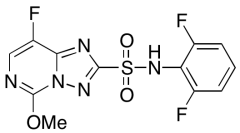
Florasulam
产品基本信息
产品编号:F405730
产品名称:Florasulam
产品CAS:145701-23-1
规格含量:500mg
产品价格:面议
联系我们:
产品详细介绍
标准品编号: F405730
名称: Florasulam
别名: N-(2,6-Difluorophenyl)-8-fluoro-5-methoxy-[1,2,4]triazolo[1,5-c]pyrimidine-2-sulfonamide; Kantor; Primus; Primus SC
CAS号: 145701-23-1
分子式: C₁₂H₈F₃N₅O₃S
外观: 白色固体
熔点: 200-203°C
分子量: 359.28
储存: 冰箱保存
溶解度: Ethyl Acetate (Slightly), Methanol (Slightly)
种类: Standards; Enzyme Activators and Inhibitors; Environmental Standards, Mutagens and Metabolites;
应用: Florasulam is a triazolopyrimidine sulfonamide compound that is used as a post emergence herbicide. Florasulam is often used to control dandelion populations in wheat fields.
危险品: Not a dangerous good if item is equal to or less than 1g/ml and there is less than 100g/ml in the package
参考文献


2011-2018 信阳莱耀生物科技有限公司 @ 信阳埃尔文生物科技有限公司版权所有

中检所标准品,对照品,标准气体
Keywords: 中检所标准品 对照品 标准气体