欢迎光临:莱耀标准品网!
 您的位置:对照品 > 对照品 > 自制对照品 >
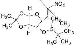
(5E)-5,6-Dideoxy-3-O-[(1,1-dimethylethyl)dimethylsilyl]-1,2-O-(1-methylethylidene)-6-nitro
产品基本信息
产品编号:D495405
产品名称:(5E)-5,6-Dideoxy-3-O-[(1,1-dimethylethyl)dimethylsilyl]-1,2-O-(1-methylethylidene)-6-nitro
产品CAS:1441103-52-1
规格含量:100mg
产品价格:面议
联系我们:
产品详细介绍
标准品编号: D495405
名称: (5E)-5,6-Dideoxy-3-O-[(1,1-dimethylethyl)dimethylsilyl]-1,2-O-(1-methylethylidene)-6-nitro-α-D-xylo-hex-5-enofuranose
别名: (5E)-5,6-Dideoxy-3-O-[(1,1-dimethylethyl)dimethylsilyl]-1,2-O-(1-methylethylidene)-6-nitro-D-xylo-hex-5-enofuranose
CAS号: 1441103-52-1
分子式: C₁₅H₂₇NO₆Si
外观: Colourless Oil
熔点: N/A
分子量: 345.46
储存: Amber Vial, -20°C Freezer, Under inert atmosphere
溶解度: Chloroform (Slightly), Methanol (Slightly)
种类: Standards; Pharmaceutical/API Drug Impurities/Metabolites;
应用: (5E)-5,6-Dideoxy-3-O-[(1,1-dimethylethyl)dimethylsilyl]-1,2-O-(1-methylethylidene)-6-nitro-α-D-xylo-hex-5-enofuranose, can be used in the synthesis of Pancratistatin (P173600), an anti-cancer compound that initiates cell-death in cancer cells.
参考文献


2011-2018 信阳莱耀生物科技有限公司 @ 信阳埃尔文生物科技有限公司版权所有

中检所标准品,对照品,标准气体
Keywords: 中检所标准品 对照品 标准气体