欢迎光临:莱耀标准品网!
 您的位置:对照品 > 对照品 > 自制对照品 >
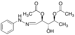
5-Deoxy-2,4-diacetate-L-ribose Phenylhydrazone
产品基本信息
产品编号:D287860
产品名称:5-Deoxy-2,4-diacetate-L-ribose Phenylhydrazone
产品CAS:
规格含量:2.5mg
产品价格:面议
联系我们:
产品详细介绍
标准品编号: D287860
名称: 5-Deoxy-2,4-diacetate-L-ribose Phenylhydrazone
分子式: C₁₅H₂₀N₂O₅
分子量: 308.33
种类: Standards; Carbohydrates and Oligosaccharides;
应用: 5-Deoxy-2,4-diacetate-L-ribose Phenylhydrazone is an intermediate used in the synthesis of L-Primapterin (P733000), which is 7-Substituted pterins, a new class of mammalian pteridines. Primapterin, Anapterin, and 6-Oxo-primapterin, three new 7-substituted pterins identified in a patient with hyperphenylalaninemia.
参考文献


2011-2018 信阳莱耀生物科技有限公司 @ 信阳埃尔文生物科技有限公司版权所有

中检所标准品,对照品,标准气体
Keywords: 中检所标准品 对照品 标准气体