欢迎光临:莱耀标准品网!
 您的位置:对照品 > 对照品 > 自制对照品 >
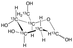
2-Deoxy-D-glucose-13C6
产品基本信息
产品编号:D239004
产品名称:2-Deoxy-D-glucose-13C6
产品CAS:
规格含量:25mg
产品价格:面议
联系我们:
产品详细介绍
标准品编号: D239004
名称: 2-Deoxy-D-glucose-13C6
别名: 2-deoxy-D-arabino-hexose-13C6; 2-Deoxy-D-mannose-13C6; 2-Deoxyglucose-13C6; 2-Desoxy-D-glucose-13C6; Ba 2758-13C6; NSC 15193-13C6;
参考CAS号: 未标记:154-17-6
分子式: ¹³C₆H₁₂O₅
外观: 白色至白色固体
熔点: >150°C (dec.)
分子量: 170.11
储存: 冰箱保存
溶解性: Methanol (Slightly), Water (Slightly)
种类: Standards; Isotopic Labeled Analogues; Carbohydrates and Oligosaccharides;
应用: 2-Deoxy-D-glucose-13C6 is the isotope labelled analogue of 2-Deoxy-D-glucose (D239000), a tumor therapeutic and a targeted optical imaging agent for fluorescent in vivo imaging.
参考文献


2011-2018 信阳莱耀生物科技有限公司 @ 信阳埃尔文生物科技有限公司版权所有

中检所标准品,对照品,标准气体
Keywords: 中检所标准品 对照品 标准气体