欢迎光临:莱耀标准品网!
 您的位置:对照品 > 对照品 > 自制对照品 >
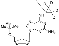
N6-Cyclopropyl-9-[(1R,4S)-4-[(1,1-dimethylethoxy)methyl]-2-cyclopenten-1-yl]-9H-purine-2,6
产品基本信息
产品编号:C989917
产品名称:N6-Cyclopropyl-9-[(1R,4S)-4-[(1,1-dimethylethoxy)methyl]-2-cyclopenten-1-yl]-9H-purine-2,6
产品CAS:
规格含量:2.5mg
产品价格:面议
联系我们:
产品详细介绍
标准品编号: C989917
名称: N6-Cyclopropyl-9-[(1R,4S)-4-[(1,1-dimethylethoxy)methyl]-2-cyclopenten-1-yl]-9H-purine-2,6-diamine-d4
参考CAS号: 类似: 1443421-68-8
分子式: C₁₈H₂₂D₄N₆O
分子量: 346.46
种类: Standards; Isotopic Labeled Analogues;
应用: N6-Cyclopropyl-9-[(1R,4S)-4-[(1,1-dimethylethoxy)methyl]-2-cyclopenten-1-yl]-9H-purine-2,6-diamine-d4 is deuterium labeled N6-Cyclopropyl-9-[(1R,4S)-4-[(1,1-dimethylethoxy)methyl]-2-cyclopenten-1-yl]-9H-purine-2,6-diamine (C989915), an impurity of Abacavir (A104990), which is a guanosine analog that inhibits reverse transcriptase (NRTI)(1,2).
参考文献


2011-2018 信阳莱耀生物科技有限公司 @ 信阳埃尔文生物科技有限公司版权所有

中检所标准品,对照品,标准气体
Keywords: 中检所标准品 对照品 标准气体