您的位置:对照品 > 对照品 > 自制对照品 > |
|
|
|
| 产品基本信息 |
|
| 产品编号:C987892 |
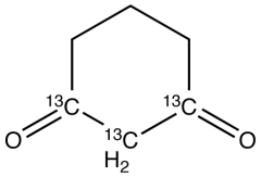
| 产品名称:1,3-Cyclohexanedione-1,2,3-13C3 |
| 产品CAS:1184998-71-7 |
| 规格含量:10mg |
| 产品价格:面议 |
| 联系我们: |
|
|
|
|
|
| 产品详细介绍 |
| 标准品编号: |
C987892 |
| 名称: |
1,3-Cyclohexanedione-1,2,3-13C3 |
| 别名: |
Dihydro-1,3-benzenediol-13C3; 1,3-Dioxocyclohexane-13C3; Dihydroresorcinol-13C3; Hydroresorcinol-13C3; NSC 57477-13C3; |
| CAS号: |
1184998-71-7 |
| 参考CAS: |
504-02-9 unlabelled |
| 分子式: |
C₃¹³C₃H₈O₂ |
| 外观: |
Pale-Yellow Low Melting Solid |
| 熔点: |
N/A |
| 分子量: |
115.1 |
| 储存: |
冰箱保存 |
| 溶解度: |
Dichloromethane, Ethyl acetate, Methanol |
| 类别: |
Building Blocks; Isotopic Labeled Analogues; |
| 应用: |
1,3-Cyclohexanedione-1,2,3-13C3 (cas# 1184998-71-7) is a compound useful in organic synthesis. |
| 参考文献 |
|
|
|
|
|
|
|
|