欢迎光临:莱耀标准品网!
 您的位置:对照品 > 对照品 > 自制对照品 >
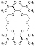
(+)-(18-Crown-6)-2,3,11,12-tetracarboxamide
产品基本信息
产品编号:C824900
产品名称:(+)-(18-Crown-6)-2,3,11,12-tetracarboxamide
产品CAS:57207-22-4
规格含量:50mg
产品价格:面议
联系我们:
产品详细介绍
标准品编号: C824900
名称: (+)-(18-Crown-6)-2,3,11,12-tetracarboxamide
别名: [2R-(2R*,3R*,11R*,12R*)]-N,N,N',N',N'',N'',N''',N'''-Octamethyl-1,4,7,10,13,16-hexaoxacyclooctadecane-2,3,11,12-tetracarboxamide;
CAS号: 57207-22-4
分子式: C₂₄H₄₄N₄O₁₀
外观: 白色固体
熔点: 170-180°C
分子量: 548.63
储存: Hygroscopic, -20°C Freezer, Under inert atmosphere
溶解度: Chloroform (Slightly), Methanol (Slightly)
类别: Standards; Miscellaneous;
应用: (+)-(18-Crown-6)-2,3,11,12-tetracarboxamide (cas# 57207-22-4) is a compound useful in organic synthesis.
参考文献


2011-2018 信阳莱耀生物科技有限公司 @ 信阳埃尔文生物科技有限公司版权所有

中检所标准品,对照品,标准气体
Keywords: 中检所标准品 对照品 标准气体