欢迎光临:莱耀标准品网!
 您的位置:对照品 > 对照品 > 自制对照品 >
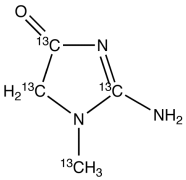
Creatinine-13C4
产品基本信息
产品编号:C781503
产品名称:Creatinine-13C4
产品CAS:1286953-05-6
规格含量:
产品价格:面议
联系我们:
产品详细介绍
标准品编号: C781503
名称: Creatinine-13C4
别名: 2-Amino-1,5-dihydro-1-methyl-4H-imidazol-4-one-13C4; 1-Methylglycocyamidine- 13C4; 1-Methylhydantoin-2-imide-13C4; 2-Amino-1-methyl-1,5-dihydroimidazol -4-one-13C4; 2-Amino-1-methylimidazolin-4-one-13C4; NSC 13123-13C4; TEGO Cosmo C 250-13C4;
CAS号: 1286953-05-6
参考CAS: 60-27-5-未标记
分子式: ¹³C₄H₇N₃O
分子量: 117.09
类别: Standards; Isotopic Labeled Analogues;
应用: Labelled Creatinine. The end product of creatine catabolism. Normal constituent of urine. Also found together with creatine in muscle tissues and blood. Occurs in all soils and in grain seeds and other vegetable matter. Has been found in certain fish and in crab meat extract.
参考文献


2011-2018 信阳莱耀生物科技有限公司 @ 信阳埃尔文生物科技有限公司版权所有

中检所标准品,对照品,标准气体
Keywords: 中检所标准品 对照品 标准气体