欢迎光临:莱耀标准品网!
 您的位置:对照品 > 对照品 > 中药对照品 >
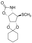
Mannostatin A, 3,4-Carbamate 1,2-Cyclohexyl Ketal
产品基本信息
产品编号:M166505
产品名称:Mannostatin A, 3,4-Carbamate 1,2-Cyclohexyl Ketal
产品CAS:
规格含量:25mg
产品价格:面议
联系我们:
产品详细介绍
标准品编号: M166505
名称: Mannostatin A, 3,4-Carbamate 1,2-Cyclohexyl Ketal
参考CAS号: 134566-75-9, 134678-32-3
分子式: C₁₃H₁₉NO₄S
外观: 白色固体
熔点: 126-128ºC
分子量: 285.36
溶解度: Chloroform (Slightly), DMSO (Slightly), Ethyl Acetate (Slightly)
种类: Standards; Chiral Molecules; Enzyme Activators and Inhibitors; Glycosidase Inhibitors;
应用: Protected Mannostatin A.
参考文献


2011-2018 信阳莱耀生物科技有限公司 @ 信阳埃尔文生物科技有限公司版权所有

中检所标准品,对照品,标准气体
Keywords: 中检所标准品 对照品 标准气体