您的位置:对照品 > 对照品 > 中药对照品 > |
|
|
|
| 产品基本信息 |
|
| 产品编号:K450100 |
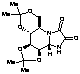
| 产品名称:Kifunensine Diacetonide |
| 产品CAS:134234-43-8 |
| 规格含量:10mg |
| 产品价格:面议 |
| 联系我们: |
|
|
|
|
|
| 产品详细介绍 |
| 标准品编号: |
K450100 |
| 名称: |
Kifunensine Diacetonide |
| 别名: |
(3aS,3bR,7aR,11aS,11bR)-Hexahydro-2,2,5,5-tetramethyl-7H-[1,3]dioxino[4,5-e]-1,3-dioxolo[4,5-c]imidazo[1,2-a]pyridine-9,10-dione; |
| CAS号: |
134234-43-8 |
| 参考CAS号: |
122623-76-1, 134234-43-8, 136598-16-8 |
| 分子式: |
C₁₄H₂₀N₂O₆ |
| 外观: |
淡黄色固体 |
| 熔点: |
>248°C |
| 分子量: |
312.32 |
| 储存: |
-20°C Freezer |
| 溶解度: |
Chloroform (Slightly), Methanol (Slightly) |
| 种类: |
Standards; Pharmaceutical/API Drug Impurities/Metabolites; |
| 应用: |
Precursor to Kifunensine. |
| 参考文献 |
|
|
|
|
|
|
|
|