欢迎光临:莱耀标准品网!
 您的位置:对照品 > 对照品 > 中药对照品 >
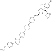
N-(Desisobutyl) N-[(4-Carboxymethyl)phenyl] Itraconazole
产品基本信息
产品编号:I937510
产品名称:N-(Desisobutyl) N-[(4-Carboxymethyl)phenyl] Itraconazole
产品CAS:
规格含量:2.5mg
产品价格:面议
联系我们:
产品详细介绍
标准品编号: I937510
名称: N-(Desisobutyl) N-[(4-Carboxymethyl)phenyl] Itraconazole
分子式: C₃₉H₃₆Cl₂N₈O₆
分子量: 783.66
种类: Standards; Pharmaceutical/API Drug Impurities/Metabolites;
应用: N-(Desisobutyl) N-[(4-Carboxymethyl)phenyl] Itraconazole is an itraconazole related compound (I937500) and is a useful intermediate. Itraconazole (I937500) is an orally active antimycotic structurally related to Ketoconazole, an antifungal.
参考文献


2011-2018 信阳莱耀生物科技有限公司 @ 信阳埃尔文生物科技有限公司版权所有

中检所标准品,对照品,标准气体
Keywords: 中检所标准品 对照品 标准气体