欢迎光临:莱耀标准品网!
 您的位置:对照品 > 对照品 > 中药对照品 >
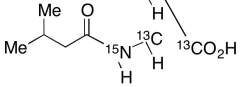
N-Iso Valerylglycine-13C2,15N
产品基本信息
产品编号:I917603
产品名称:N-Iso Valerylglycine-13C2,15N
产品CAS:
规格含量:10mg
产品价格:面议
联系我们:
产品详细介绍
标准品编号: I917603
名称: N-Iso Valerylglycine-13C2,15N
别名: N-(3-Methyl-1-oxobutyl)glycine-13C2,15N; N-Isovalerylglycine-13C2,15N; Isovalerylglycine-13C2,15N; N-Isovaleroylglycine-13C2,15N
参考CAS号: Unlabelled: 16284-60-9
分子式: C₅¹³C₂H₁₃¹⁵NO₃
分子量: 162.16
种类: Standards; Pharmaceutical/API Drug Impurities/Metabolites;
应用: N-Iso Valerylglycine-13C2,15N is a labelled analogue of N-Iso valerylglycine (1971600).
参考文献


2011-2018 信阳莱耀生物科技有限公司 @ 信阳埃尔文生物科技有限公司版权所有

中检所标准品,对照品,标准气体
Keywords: 中检所标准品 对照品 标准气体