欢迎光临:莱耀标准品网!
 您的位置:对照品 > 对照品 > 中药对照品 >
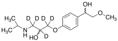
α-Hydroxy Metoprolol-d5(Mixture of Diastereomers)
产品基本信息
产品编号:H948392
产品名称:α-Hydroxy Metoprolol-d5 (Mixture of Diastereomers)
产品CAS:1189934-03-9
规格含量:10mg
产品价格:面议
联系我们:
产品详细介绍
标准品编号: H948392
名称: α-Hydroxy Metoprolol-d5 (Mixture of Diastereomers)
别名: 4-[2-Hydroxy-3-[(1-methylethyl)amino]propoxy]-α-(methoxymethyl)-benzenemethan- ol-d5; H 119/66-d5; α-Hydroxymetoprolol-d5;
CAS号: 1189934-03-9
参考CAS号: 类似: 56392-16-6
分子式: C₁₅H₂₀D₅NO₄
外观: White Waxy Solid
熔点: 59-61°C
分子量: 288.39
储存: -20˚C Freezer
溶解度: Chloroform (Slightly), Methanol (Slightly)
种类: Standards; Isotopic Labeled Analogues; Pharmaceutical/API Drug Impurities/Metabolites;
应用: A labelled metabolite of Metoprolol.
参考文献


2011-2018 信阳莱耀生物科技有限公司 @ 信阳埃尔文生物科技有限公司版权所有

中检所标准品,对照品,标准气体
Keywords: 中检所标准品 对照品 标准气体