您的位置:对照品 > 对照品 > 中药对照品 > |
|
|
|
| 产品基本信息 |
|
| 产品编号:G645653 |
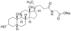
| 产品名称:Glycolithocholic Acid Sodium Salt |
| 产品CAS:24404-83-9 |
| 规格含量:10mg |
| 产品价格:面议 |
| 联系我们: |
|
|
|
|
|
| 产品详细介绍 |
| 标准品编号: |
G645653 |
| 名称: |
Glycolithocholic Acid Sodium Salt |
| 别名: |
Sodium Glycolithocholate; N-(3α-Hydroxy-5β-cholan-24-oyl)glycine Sodium Salt; N-[(3α,5β)-3-Hydroxy-24-oxocholan-24-yl]glycine Sodium Salt; |
| CAS号: |
24404-83-9 |
| 参考CAS号: |
Free Form: 474-74-8 |
| 分子式: |
C₂₆H₄₂NNaO₄ |
| 外观: |
白色固体 |
| 熔点: |
199-201ºC |
| 分子量: |
455.61 |
| 储存: |
冰箱 |
| 溶解度: |
Ethanol (Slightly), Methanol (Slightly) |
| 种类: |
Standards; Steroids; Pharmaceutical/API Drug Impurities/Metabolites; |
| 应用: |
Glycolithocholic Acid Sodium Salt is a bile salt and may induce calcium uptake in human erythrocytes. |
| 参考文献 |
|
|
|
|
|
|
|
|