欢迎光临:莱耀标准品网!
 您的位置:对照品 > 对照品 > 中药对照品 >
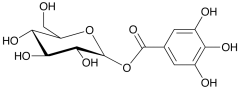
β-Glucogallin
产品基本信息
产品编号:G416000
产品名称:β-Glucogallin
产品CAS:13405-60-2
规格含量:50mg
产品价格:面议
联系我们:
产品详细介绍
标准品编号: G416000
名称: β-Glucogallin
别名: [[(2S,3R,4S,5S,6R)-3,4,5-trihydroxy-6-(hydroxymethyl)oxan-2-yl]3,4,5-trihydroxybenzoate; 1-Galloyl-β-D-glucose; 1-(3,4,5-Trihydroxybenzoate) β-D-Glucopyranose; 1-Gallate-β-D-glucopyranose; 1-Gallate-β-D-glucose; 1(β)-O-Galloylglucose; 1-Galloyl-β-glucose; 1-Galloylglucose; 1-O-Galloyl-β-D-glucopyranose; 1-O-Galloyl-β-D-glucose; D-Glucose 1-(3,4,5-trihydroxybenzoate); Gallotannin 1; β-D-Glucogallin
CAS号: 13405-60-2
分子式: C₁₃H₁₆O₁₀
外观: 白色至Pale Grey Solid
熔点: >179°C (dec.)
分子量: 332.26
储存: Hygroscopic, -20°C Freezer, Under inert atmosphere
溶解度: Water (Slightly)
稳定性: Moisture Sensitive
种类: Research Tools; Enzyme Activators and Inhibitors; Pharmaceutical/API Drug Impurities/Metabolites;
应用: β-Glucogallin is used as a novel aldose reductase (ALR2) inhibitor, one of the factors regulating the secondary complications arising from diabetes mellitus.
参考文献


2011-2018 信阳莱耀生物科技有限公司 @ 信阳埃尔文生物科技有限公司版权所有

中检所标准品,对照品,标准气体
Keywords: 中检所标准品 对照品 标准气体