您的位置:对照品 > 对照品 > 中药对照品 > |
|
|
|
| 产品基本信息 |
|
| 产品编号:D444267 |
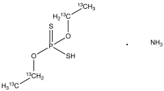
| 产品名称:O,O-Diethyl Dithiophosphate-13C4 Ammonium Salt |
| 产品CAS:1329641-22-6 |
| 规格含量:10mg |
| 产品价格:面议 |
| 联系我们: |
|
|
|
|
|
| 产品详细介绍 |
| 标准品编号: |
D444267 |
| 名称: |
O,O-Diethyl Dithiophosphate-13C4 Ammonium Salt |
| 别名: |
Phosphorodithioic Acid O,O-Diethyl Ester-13C4 Ammonium Salt; Ammonium Ethyl Phosphorodithioate-13C4 ; Phosphorodithioic Acid O,O-Diethyl Ester-13C4 Ammonium Salt; Ammonium O,O-Diethyl Dithiophosphate-13C4 ; Ammonium O,O-Diethyl Phosphorodithioate-13C4 ; Ammonium Di-O-ethyl Dithiophosphate-13C4 ; Ammonium Diethyldithiophosphate-13C4 ; NF 133-13C4 ; O,O-Diethyl Ammonium Phosphorodithioate-13C4; O,O-Diethylphosphorodithioic Acid-13C4 Ammonium Salt; |
| CAS号: |
1329641-22-6 |
| 参考CAS号: |
1068-22-0-未标记 |
| 分子式: |
¹³C₄H₁₄NO₂PS₂ |
| 外观: |
白色固体 |
| 熔点: |
150-155°C |
| 分子量: |
207.23 |
| 储存: |
Hygroscopic, -20ËšC Freezer, Under Inert Atmosphere |
| 溶解性: |
DMSO (Slightly), Methanol (Slightly, Heated) |
| 种类: |
Building Blocks; Isotopic Labeled Analogues; |
| 应用: |
Labelled O,O-Diethyl Dithiophosphate (D444265). Used in the synthesis of novel phosphorothioates and phosphorodithioates as cholinesterase inhibitor. |
| 危险品: |
Not a dangerous good if item is equal to or less than 1g/ml and there is less than 100g/ml in the package |
| 参考文献 |
|
|
|
|
|
|
|
|