欢迎光临:莱耀标准品网!
 您的位置:对照品 > 对照品 > 中药对照品 >
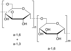
Dextran (Technical Grade~ 20K)
产品基本信息
产品编号:D299115
产品名称:Dextran (Technical Grade~ 20K)
产品CAS:9004-54-0
规格含量:50g
产品价格:面议
联系我们:
产品详细介绍
标准品编号: D299115
名称: Dextran (Technical Grade~ 20K)
别名: Dextrans; Dextranen; Dextraven; Eudextran; Expandex; Gentran; Hemodex; Hyscon; Hyskon; Infucoll; Intrader; Intradex; LMD; LMWD; LVD; Macrodex; Macrose; Oncovertin N; Onkotin; PL 1S; Plasmafusin; Plasmodex; Plavolex; Polyglucin; Polyglusol; Promit; Rheodextran; Rheoisodex; Rheomacrodex; Rheopolyglucin; Rheopolyglucine; Rheorondex; Rheotran; Rondex; Serva G; Ultradex; α-Dextran; Dextran 20000; Dextran PL 1S; Dextran PVD; Dextran RMI;
CAS号: 9004-54-0
分子式: H(C₆H₁₀O₅)ₓOH
外观: 白色固体
熔点: >250°C (dec.)
分子量: 0
储存: Room Temperature
溶解性: DMSO (Warmed), Water
种类: Standards; Enzyme Activators and Inhibitors; Pharmaceutical/API Drug Impurities/Metabolites; Carbohydrates and Oligosaccharides;
应用: Dextran is a polysaccharide composed of glucose molecules used as an antithrombotic to reduce blood viscosity and as a volume expander in anemia. Studies show that it inhibits the mannose receptor-mediated clearance of tissue-type plasminogen activator (t-PA).
参考文献


2011-2018 信阳莱耀生物科技有限公司 @ 信阳埃尔文生物科技有限公司版权所有

中检所标准品,对照品,标准气体
Keywords: 中检所标准品 对照品 标准气体