欢迎光临:莱耀标准品网!
 您的位置:对照品 > 对照品 > 中药对照品 >
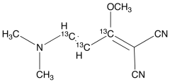
1,1-Dicyano-2-methoxy-4-dimethylamino-1,3-butadiene-13C3
产品基本信息
产品编号:D438002
产品名称:1,1-Dicyano-2-methoxy-4-dimethylamino-1,3-butadiene-13C3
产品CAS:1391062-38-6
规格含量:10mg
产品价格:面议
联系我们:
产品详细介绍
标准品编号: D438002
名称: 1,1-Dicyano-2-methoxy-4-dimethylamino-1,3-butadiene-13C3
别名: 2-[3-(Dimethylamino)-1-methoxy-2-propen-1-ylidene]-propanedinitrile-13C3;
CAS号: 1391062-38-6
参考CAS号: 95689-38-6 - unlabelled
分子式: C₆¹³C₃H₁₁N₃O
外观: Orange Solid
分子量: 180.18
储存: 冰箱保存
溶解性: Chloroform, Dichloromethane
种类: Building Blocks; Isotopic Labeled Analogues; Pharmaceutical/API Drug Impurities/Metabolites;
应用: Intermediate in the synthesis of labelled antitumor agent Gimeracil (G378002)
参考文献


2011-2018 信阳莱耀生物科技有限公司 @ 信阳埃尔文生物科技有限公司版权所有

中检所标准品,对照品,标准气体
Keywords: 中检所标准品 对照品 标准气体