欢迎光临:莱耀标准品网!
 您的位置:对照品 > 对照品 > 中药对照品 >
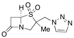
Descarboxy Tazobactam
产品基本信息
产品编号:D282035
产品名称:Descarboxy Tazobactam
产品CAS:
规格含量:2.5mg
产品价格:面议
联系我们:
产品详细介绍
标准品编号: D282035
名称: Descarboxy Tazobactam
别名: (5R)-3-((1H-1,2,3-Triazol-1-yl)methyl)-3-methyl-4-thia-1-azabicyclo[3.2.0]heptan-7-one 4,4-Dioxide
分子式: C₉H₁₂N₄O₃S
分子量: 256.28
种类: Standards; Pharmaceutical/API Drug Impurities/Metabolites; Antibotics;
应用: Descarboxy Tazobactam is an impurity of Tazobactam (T010095); a β-lactamase inhibitor, used with β-lactam antibiotics to enhance their effect.
参考文献


2011-2018 信阳莱耀生物科技有限公司 @ 信阳埃尔文生物科技有限公司版权所有

中检所标准品,对照品,标准气体
Keywords: 中检所标准品 对照品 标准气体