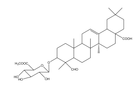
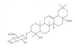
丝石竹皂苷元-3-O-β-D-葡萄糖醛酸甲酯对照品
批号:111956-201301
结构式:

分子式:C37H56O10
分子量:660
用途:丝石竹皂苷元-3-O-β-D-葡萄糖醛酸甲酯对照品(gypsogenin-3-O-β-D-glucuronide methyl ester)系供中国药典 2010 版一部第一增补本木鳖子项下鉴别和含量测定用。含量以 97.5%计。
包装及装量:棕色安瓿瓶,约 20mg/支。
类别:中检所
保存条件:干燥避光。
注意事项:本品具有引湿性,打开后一次性使用完毕。使用前无需处理。
|