欢迎光临:莱耀标准品网!
 您的位置:对照品 > 对照品 > 中检所对照品 >
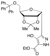
4-Hydroxy-5-[2,3-O-(1-methylethylidene)-5-O-(triphenylmethyl)-α-D-ribofuranosyl]
产品基本信息
产品编号:H945970
产品名称:4-Hydroxy-5-[2,3-O-(1-methylethylidene)-5-O-(triphenylmethyl)-α-D-ribofuranosyl]
产品CAS:83686-34-4
规格含量:5mg
产品价格:面议
联系我们:
产品详细介绍
标准品编号: H945970
名称: 4-Hydroxy-5-[2,3-O-(1-methylethylidene)-5-O-(triphenylmethyl)-α-D-ribofuranosyl]-1H-pyrazole-3-carboxylic Acid Ethyl Ester
CAS号: 83686-34-4
分子式: C₃₃H₃₄N₂O₇
外观: 白色固体s
分子量: 570.63
溶解度: DCM
种类: Building Blocks; Pharmaceutical/API Drug Impurities/Metabolites;
应用: 4-Hydroxy-5-[2,3-O-(1-methylethylidene)-5-O-(triphenylmethyl)-α-D-ribofuranosyl]-1H-pyrazole-3-carboxylic Acid Ethyl Ester is an intermediate in the synthesis of Pyrazofurin (P841750), an anticancer agent known to exhibit tumor cell growth inhibitory activity.
参考文献


2011-2018 信阳莱耀生物科技有限公司 @ 信阳埃尔文生物科技有限公司版权所有

中检所标准品,对照品,标准气体
Keywords: 中检所标准品 对照品 标准气体