欢迎光临:莱耀标准品网!
 您的位置:对照品 > 对照品 > 中检所对照品 >
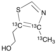
4-Methyl-5-thiazoleethanol-13C3
产品基本信息
产品编号:M330237
产品名称:4-Methyl-5-thiazoleethanol-13C3
产品CAS:
规格含量:2.5mg
产品价格:面议
联系我们:
产品详细介绍
标准品编号: M330237
名称: 4-Methyl-5-thiazoleethanol-13C3
别名: 2-(4-Methyl-1,3-thiazol-5-yl)ethanol-13C3; 2-(4-Methyl-5-thiazolyl)ethanol-13C3; 2-(4-Methylthiazole-5-yl)ethanol-13C3; 4-Methyl-5-(2-hydroxyethyl)thiazole-13C3; 4-Methyl-5-(2-thiazoleethanol)-13C3; 4-Methyl-5-(β-hydroxyethyl)thiazole -13C3; 4-Methyl-5-thiazoleethanol-13C3; 4-Methyl-5-thiazolylethanol-13C3; 5-(2-Hydroxyethyl)-4-methylthiazole-13C3; 5-(Hydroxyethyl)-4-methylthiazole-13C3; 5-(β-Hydroxyethyl)-4-methylthiazole-13C3; Hemineurine-13C3; MHT-13C3
参考CAS号: 137-00-8 unlabeled
分子式: C₃¹³C₃H₉NOS
分子量: 146.18
种类: Building Blocks; Isotopic Labeled Analogues;
应用: 4-Methyl-5-thiazoleethanol-13C3 is used in the synthesis of novel HldE kinase inhibitors used against gram negative bacteria. Also used in the synthesis of potential antimalarial agents from bis-thiazolium analogues. Refer to M330235.
危险品: Not a dangerous good if item is equal to or less than 1g/ml and there is less than 100g/ml in the package
参考文献


2011-2018 信阳莱耀生物科技有限公司 @ 信阳埃尔文生物科技有限公司版权所有

中检所标准品,对照品,标准气体
Keywords: 中检所标准品 对照品 标准气体