您的位置:对照品 > 对照品 > 中检所对照品 > |
|
|
|
| 产品基本信息 |
|
| 产品编号:M308304 |
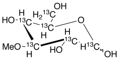
| 产品名称:3-O-Methyl-D-glucose-1,2,3,4,5,6-13C6 |
| 产品CAS: |
| 规格含量:50mg |
| 产品价格:面议 |
| 联系我们: |
|
|
|
|
|
| 产品详细介绍 |
| 标准品编号: |
M308304 |
| 名称: |
3-O-Methyl-D-glucose-1,2,3,4,5,6-13C6 |
| 别名: |
3-O-Methyl-α-D-glucose-1,2,3,4,5,6-13C6; |
| 参考CAS号: |
Unlabelled: 13224-94-7 |
| 分子式: |
¹³C₆CH₁₄O₆ |
| 外观: |
白色至白色固体 |
| 熔点: |
164-167°C |
| 分子量: |
200.14 |
| 储存: |
冰箱 |
| 溶解度: |
Water (Slightly) |
| 种类: |
Building Blocks; Isotopic Labeled Analogues; Carbohydrates and Oligosaccharides; |
| 应用: |
A labeled derivative of D-Glucose (G595000), used in enzymic synthesis of cyclohexyl-α and β-D-glucosides. |
| 参考文献 |
|
|
|
|
|
|
|
|