欢迎光临:莱耀标准品网!
 您的位置:对照品 > 对照品 > 中检所对照品 >
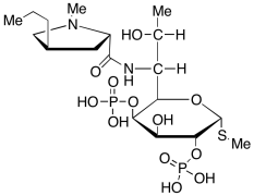
Lincomycin 2,4-Diphosphate
产品基本信息
产品编号:L466210
产品名称:Lincomycin 2,4-Diphosphate
产品CAS:
规格含量:5mg
产品价格:面议
联系我们:
产品详细介绍
标准品编号: L466210
名称: Lincomycin 2,4-Diphosphate
分子式: C₁₈H₃₆N₂O₁₂P₂S
外观: 白色至白色固体
熔点: >205°C (dec.)
分子量: 566.5
储存: Hygroscopic, -20°C Freezer, Under inert atmosphere
溶解度: Methanol (Very Slightly, Heated), Water (Slightly)
种类: Standards; Chiral Molecules; Pharmaceutical/API Drug Impurities/Metabolites; Carbohydrates and Oligosaccharides;
应用: Lincomycin 2,4-Diphosphate is an impurity of Lincomycin (L466200, HCl salt) which is an antibiotic produced by Streptomyces lincolnensis. Lincomycin is a lincosamide antibiotic that forms cross-links within the peptidyl transferase loop region of the 23S rRNA. Inhibits bacterial protein synthesis. Antibacterial.
参考文献


2011-2018 信阳莱耀生物科技有限公司 @ 信阳埃尔文生物科技有限公司版权所有

中检所标准品,对照品,标准气体
Keywords: 中检所标准品 对照品 标准气体