欢迎光临:莱耀标准品网!
 您的位置:对照品 > 对照品 > 中检所对照品 >
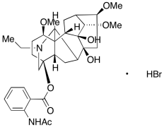
Lappaconitine Hydrobromide
产品基本信息
产品编号:L175855
产品名称:Lappaconitine Hydrobromide
产品CAS:97792-45-5
规格含量:500mg
产品价格:面议
联系我们:
产品详细介绍
标准品编号: L175855
名称: Lappaconitine Hydrobromide
别名: 2H-12,3,6a-Ethanylylidene-7,9-methanonaphth[2,3-b]azocine, aconitane-4,8,9-triol deriv. Hydrobromide; Acetyl-10-deoxysepaconitine Hydrobromide
CAS号: 97792-45-5
参考CAS号: Free Base: 32854-75-4
分子式: C₃₂H₄₅BrN₂O₈
外观: 白色至白色固体
熔点: >218°C (dec.)
分子量: 665.61
储存: Hygroscopic, -20°C Freezer, Under inert atmosphere
溶解度: DMSO (Slightly), Methanol (Slightly)
种类: Building Blocks; Chiral Molecules; Pharmaceutical/API Drug Impurities/Metabolites;
应用: Hydrobromide salt of (+)-Lappaconitine (L175850), a potential antitumor agent agent that induces HL-60 differentiation and apoptosis with analgesic activity as well.
危险品: Not a dangerous good if item is equal to or less than 1g/ml and there is less than 100g/ml in the package
参考文献


2011-2018 信阳莱耀生物科技有限公司 @ 信阳埃尔文生物科技有限公司版权所有

中检所标准品,对照品,标准气体
Keywords: 中检所标准品 对照品 标准气体