欢迎光临:莱耀标准品网!
 您的位置:对照品 > 对照品 > 中检所对照品 >
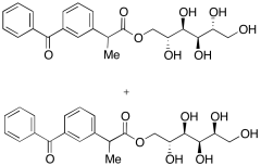
Ketoprofen Sorbitol Monoester {Mixture of Diasteromers)
产品基本信息
产品编号:K202800
产品名称:Ketoprofen Sorbitol Monoester {Mixture of Diasteromers)
产品CAS:
规格含量:5mg
产品价格:面议
联系我们:
产品详细介绍
标准品编号: K202800
名称: Ketoprofen Sorbitol Monoester {Mixture of Diasteromers)
别名: (2R,3R,4R,5R)-2,3,4,5,6-pentahydroxyhexyl 2-(3-benzoylphenyl)propanoate and (2R,3R,4R,5S)-2,3,4,5,6-pentahydroxyhexyl 2-(3-benzoylphenyl)propanoate mixture;
分子式: C₂₂H₂₆O₈
分子量: 418.44
种类: Standards; Pharmaceutical/API Drug Impurities/Metabolites;
应用: Ketoprofen Sorbitol Monoester {Mixture of Diasteromers) is a derivative of Ketoprofen (K200800), an anti-inflammatory; analgesic.
参考文献


2011-2018 信阳莱耀生物科技有限公司 @ 信阳埃尔文生物科技有限公司版权所有

中检所标准品,对照品,标准气体
Keywords: 中检所标准品 对照品 标准气体