欢迎光临:莱耀标准品网!
 您的位置:对照品 > 对照品 > 中检所对照品 >
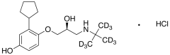
(S)-4-Hydroxy Penbutolol-d9 Hydrochloride
产品基本信息
产品编号:H948947
产品名称:(S)-4-Hydroxy Penbutolol-d9 Hydrochloride
产品CAS:1346617-35-3
规格含量:10mg
产品价格:面议
联系我们:
产品详细介绍
标准品编号: H948947
名称: (S)-4-Hydroxy Penbutolol-d9 Hydrochloride
别名: 3-Cyclopentyl-4-[(2S)-3-[(1,1-dimethylethyl-d9)amino]-2-hydroxypropoxy]phenol Hydrochloride; (S)-3-Cyclopentyl-4-[3-[(1,1-dimethylethyl-d9)amino]- 2-hydroxypropoxy]phenol Hydrochloride;
CAS号: 1346617-35-3
参考CAS号: 81542-82-7-free base unlabelled
分子式: C₁₈H₂₁D₉ClNO₃
分子量: 352.94
种类: Standards; Isotopic Labeled Analogues; Pharmaceutical/API Drug Impurities/Metabolites;
应用: A hydroxylated labelled metabolite of Penbutolol (P220500).
参考文献


2011-2018 信阳莱耀生物科技有限公司 @ 信阳埃尔文生物科技有限公司版权所有

中检所标准品,对照品,标准气体
Keywords: 中检所标准品 对照品 标准气体