欢迎光临:莱耀标准品网!
 您的位置:对照品 > 对照品 > 中检所对照品 >
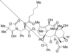
Hexanoyl Docetaxel Metabolites M1 and M3(Mixture of Diastereomers)
产品基本信息
产品编号:H294465
产品名称:Hexanoyl Docetaxel Metabolites M1 and M3 (Mixture of Diastereomers)
产品CAS:
规格含量:10mg
产品价格:面议
联系我们:
产品详细介绍
标准品编号: H294465
名称: Hexanoyl Docetaxel Metabolites M1 and M3 (Mixture of Diastereomers)
分子式: C₄₉H₆₁NO₁₆
分子量: 920.01
种类: Standards; Pharmaceutical/API Drug Impurities/Metabolites;
应用: Hexanoyl Docetaxel Metabolites M1 and M3 (Mixture of Diastereomers) are metabolites of Docetaxel (D494420); a semisynthetic derivative of Paclitaxel(P132500) and an antimitotic agent that promotes the assembly of micro-tubules and inhibits their de-polymerization to free tubulin. Also an antineoplastic.
参考文献


2011-2018 信阳莱耀生物科技有限公司 @ 信阳埃尔文生物科技有限公司版权所有

中检所标准品,对照品,标准气体
Keywords: 中检所标准品 对照品 标准气体