欢迎光临:莱耀标准品网!
 您的位置:对照品 > 对照品 > 中检所对照品 >
5-Fluoroorotic Acid Monohydrate-13C15N2
产品基本信息
产品编号:F595002
产品名称:5-Fluoroorotic Acid Monohydrate-13C15N2
产品CAS:
规格含量:2.5mg
产品价格:面议
联系我们:
产品详细介绍
标准品编号: F595002
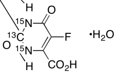
名称: 5-Fluoroorotic Acid Monohydrate-13C15N2
别名: 5-FOVIP(LA)13C15N2
参考CAS: 703-95-7未标记
分子式: C₄¹³CH₅F¹⁵N₂O₅
分子量: 195.08
种类: Building Blocks; Isotopic Labeled Analogues;
应用: 5-Fluoroorotic Acid Monohydrate-13C15N2 is the isotope analog of 5-Fluoroorotic Acid Monohydrate, (5-FOA). 5-FOA has become a valuable tool for research in the field of molecular genetics. It has been employed in the selection of resistant strains of Saccharomyces cerevisiae that possess a mutant URA3 gene which renders them orotidine-5'-phosphate decarboxylase deficient. 5-FOA is coverted to 5-fluorouridine monophosphate (5-FUMP) in yeast cells, which can become incorporated into RNA or metabolized to the highly toxic 5-fluoro-2’-deoxyuridine monophosphate (5-FdUMP). 5-FdUMP is a potent inhibitor of thymidylate synthase (TS), causing the cessation of DNA synthesis. More recently, 5-FOA has been shown to possess potent antimalarial activity against both chloroquine-susceptible and chloro
参考文献


2011-2018 信阳莱耀生物科技有限公司 @ 信阳埃尔文生物科技有限公司版权所有

中检所标准品,对照品,标准气体
Keywords: 中检所标准品 对照品 标准气体