欢迎光临:莱耀标准品网!
 您的位置:对照品 > 对照品 > 中检所对照品 >
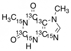
1,7-Dimethylxanthine (paraxanthine, 2,4,5,6-13C4 1,3,9-15N3)
产品基本信息
产品编号:D495295
产品名称:1,7-Dimethylxanthine (paraxanthine, 2,4,5,6-13C4 1,3,9-15N3)
产品CAS:1173018-79-5
规格含量:2.5mg
产品价格:面议
联系我们:
产品详细介绍
标准品编号: D495295
名称: 1,7-Dimethylxanthine (paraxanthine, 2,4,5,6-13C4 1,3,9-15N3)
别名: paraxanthine 2,4,5,6-13C4 1,3,9-15N3;
CAS号: 1173018-79-5
分子式: C₃¹³C₄H₈N¹⁵N₃O₂
外观: 白色至白色固体
分子量: 187.12
储存: 冰箱保存
溶解度: DMSO (Slightly), Methanol (slightly, Heated)
种类: Building Blocks; Isotopic Labeled Analogues;
应用: 1,7-Dimethylxanthine (Paraxanthine) (2,4,5,6-13c4, 99%; 1,3,9-15n3, 98%) (cas# 1173018-79-5) is a useful research chemical.
参考文献


2011-2018 信阳莱耀生物科技有限公司 @ 信阳埃尔文生物科技有限公司版权所有

中检所标准品,对照品,标准气体
Keywords: 中检所标准品 对照品 标准气体