欢迎光临:莱耀标准品网!
 您的位置:对照品 > 对照品 > 中检所对照品 >
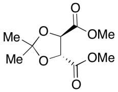
(-)-Dimethyl 2,3-O-isopropylidene-L-tartrate
产品基本信息
产品编号:D474240
产品名称:(-)-Dimethyl 2,3-O-isopropylidene-L-tartrate
产品CAS:37031-29-1
规格含量:10 g
产品价格:面议
联系我们:
产品详细介绍
标准品编号: D474240
名称: (-)-Dimethyl 2,3-O-isopropylidene-L-tartrate
别名: (4R,5R)-2,2-Dimethyl-1,3-dioxolane-4,5-dicarboxylic Acid 4,5-Dimethyl Ester; (4R,5R)-2,2-Dimethyl-1,3-dioxolane-4,5-dicarboxylic Acid Dimethyl Ester; (4R-trans)-2,2-Dimethyl-1,3-dioxolane-4,5-dicarboxylic Acid Dimethyl Ester; (-)-Dimethyl-2,3-O-isopropylidene-L-tartrate; Dimethyl (4R,5R)-2,2,Dimethyl-1,3-dioxolane-4,5-dicarboxylate; Dimethyl L-tartarte Acetonide
CAS号: 37031-29-1
分子式: C₉H₁₄O₆
分子量: 218.2
种类: Building Blocks; Chiral Molecules;
应用: (-)-Dimethyl 2,3-O-isopropylidene-L-tartrate is used as a reagent to synthesize (+)-Migrastatin, a natural macrolide compound produced by Streptomyces 1 & 2 that acts as a tumour migration cell inhibitor. (-)-Dimethyl 2,3-O-isopropylidene-L-tartrate is also a derivative of Tartaric acid (L-isomer: T007630 & D-isomer: T007625), a compound that is used as a chiral complexing agent in synthetic chemistry.
参考文献


2011-2018 信阳莱耀生物科技有限公司 @ 信阳埃尔文生物科技有限公司版权所有

中检所标准品,对照品,标准气体
Keywords: 中检所标准品 对照品 标准气体