欢迎光临:莱耀标准品网!
 您的位置:对照品 > 对照品 > 中检所对照品 >
N-Demethoxy Linuron-13C6
产品基本信息
产品编号:D231122
产品名称:N-Demethoxy Linuron-13C6
产品CAS:1346603-94-8
规格含量:10mg
产品价格:面议
联系我们:
产品详细介绍
标准品编号: D231122
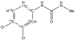
名称: N-Demethoxy Linuron-13C6
别名: N-(3,4-Dichlorophenyl-13C6)-N'-methylurea; 1-(3,4-Dichlorophenyl-13C6)-3-methylurea; 1-Methyl-3-(3,4-dichlorophenyl-13C6)urea; 3,4-DCPMU; 3-(3,4-Dichlorophenyl-13C6)-1- methylurea; DCPMU-13C6; Monomethyldiuron-13C6; N-(3,4-Dichlorophenyl-13C6)- N'-methylurea; N-Demethoxylinuron-13C6; N-Methyl-N'-(3,4-dichlorophenyl-13C6)urea;
CAS号: 1346603-94-8
参考CAS号: 3567-62-2-未标记
分子式: C₂¹³C₆H₈Cl₂N₂O
分子量: 225.02
种类: Standards; Isotopic Labeled Analogues; Pharmaceutical/API Drug Impurities/Metabolites;
应用: A labelled metabolite of herbicide Diuron (D494415) and Linuron (L468500). It was investigated in wheat and radish.
参考文献


2011-2018 信阳莱耀生物科技有限公司 @ 信阳埃尔文生物科技有限公司版权所有

中检所标准品,对照品,标准气体
Keywords: 中检所标准品 对照品 标准气体