您的位置:对照品 > 对照品 > 液相标准品 > |
|
|
|
| 产品基本信息 |
|
| 产品编号:C53H86O22 |
| 产品名称:常春藤苷D(常春藤皂苷D)对照品 |
| 产品CAS:760961-03-3 |
| 规格含量:20mg |
| 产品价格:900 |
| 联系我们: |
|
|
|
|
|
| 产品详细介绍 |
|
中文名称 |
常春藤苷D对照品 |
中文别名 |
常春藤皂苷D |
|
英文名 |
Hederacoside D |
英文别名 |
无 |
|
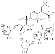
分子式 |
|
C53H86O22 |
分子量 |
1075.24 |
CAS登录号 |
760961-03-3 |
|
|
提取来源 |
|
中华常春藤 Hedera nepalensisvar.sinensis |
化学结构 |
|
|
外观 |
|
白色粉末 |
 |
|
NMR,MS |
|
4℃冷藏、密封、避光 |
|
2年 |
|
无 |
|
|
鉴别方法 |
|
贮存条件 |
|
有效期 |
|
注意事项 |
|
溶解性 |
溶于甲醇,DMSO,吡啶 |
|
测定方法 |
乙腈/水=30/70, 30min, 0.8ml/min; ELSD |
|
药典测定方法 |
无 |
|
用途 |
用于含量测定/鉴定/药理实验等 |
|
|
|
|
|