欢迎光临:莱耀标准品网!
 您的位置:对照品 > 对照品 > 对照药材 >
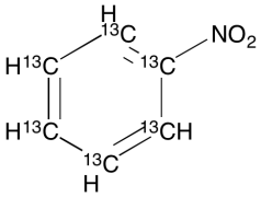
Nitrobenzene-13C6
产品基本信息
产品编号:N493003
产品名称:Nitrobenzene-13C6
产品CAS:89059-37-0
规格含量:100mg
产品价格:面议
联系我们:
产品详细介绍
标准品编号: N493003
名称: Nitrobenzene-13C6
别名: 1-Nitrobenzene-1,2,3,4,5,6-13C6
CAS号: 89059-37-0
参考CAS号: Unlabelled: 98-95-3
分子式: ¹³C₆H₅NO₂
分子量: 129.07
种类: Building Blocks; Isotopic Labeled Analogues; Miscellaneous;
应用: Isotope labelled Nitrobenzene (N493000), used mainly in the production of the chemical precursor aniline as well as in azobenzene synthesis (1). Also may be reduced through magnetic iron oxide nanocrystals (2). Drinking water contaminant candidate list 3 (CCL 3) compound as per United States Environmental Protection Agency (EPA), environmental, and food contaminants.
参考文献


2011-2018 信阳莱耀生物科技有限公司 @ 信阳埃尔文生物科技有限公司版权所有

中检所标准品,对照品,标准气体
Keywords: 中检所标准品 对照品 标准气体